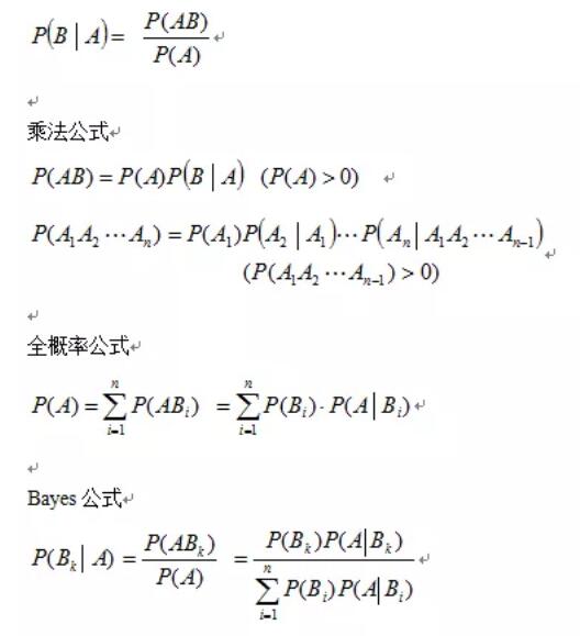
2025考研概率论必背公式之条件概率
2024/1/9 16:19:28
来源: 网络
寒假复习对于整个2025考研复习阶段来说非常关键,作为首轮复习阶段,要夯实考研数学基础,作为考研课程中的公共课重中之重,考研数学概率论与数理统计部分是大多数考生在考研数学统考中的一个弱项,海天考研网为大家整理2025考研概率论必背公式之条件概率,助力大家考研备考。

2024年考研数学真题的难度大家也看到了,重基础,重计算,所以对于条件概率公式大家一定要用心看,系统性、有计划的复习,海天考研集训营建议大家,结合往年考研数学大纲,夯实基础,坚持做题,总结归纳。海天考研集训营,科学导学,明确2025考研复习重难点,寒假时间不浪费,高效掌握考研政治基础知识,不是自己复习不明白,而是选择海天考研更有性价比,制定合理考研复习计划,事半功倍。

热门推荐



